您的當前位置:首頁 > 產品知識 > 更多產品知識 > 顆粒在介質中的干涉沉降——顆粒沉降的等降比
作者:紅星機器 發布時間:2017-06-25 16:45:50
小密度顆粒的粒度與沉降末速度相等的大密度顆粒粒度之比值,稱為顆粒的等降比,其值大于1。可以根據沉降速度相等的關系求出。
自由沉降時,在一定的雷諾數范圍內,等降比e0為一常數,即
![]()

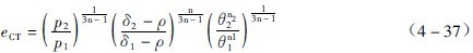
干涉沉降等降比ect,按均勻粒群計,
![]()

若屬多種性質不同的礦粒一起在介質中作干涉沉降,因目前還沒有計算這種情況下干涉沉降速度的公式,干涉沉降等降比不能求出。
本篇內容于 2017-06-25 16:45:50 已補充更新下一篇:風力分級
如果您想了解我們的產品,可以隨時撥打我公司的銷售熱線或點擊咨詢!![]()
推薦閱讀
TOP169鄂破機價格及型號參數鄂破機
TOP257鄂破機一小時能產多少噸物料鄂破機
TOP3時產1000噸石料生產線設備有哪些?多少錢?石料生產線價格
TOP4140圓錐破時產多少石子圓錐破 圓錐破碎機
TOP5小型碎沙機多少錢一臺?碎石機
TOP6一套碎石機大概需要多少錢碎石機
TOP7生產雷蒙磨粉機(雷蒙磨)的廠家磨粉機
TOP8每小時產200噸的石子破碎機多少錢一臺?破碎機
TOP969破碎機一小時處理多少立方石子?破碎機 69顎式破碎機
TOP101060顎破型號有哪些?什么價?顎破 顎式破碎機
TOP11時產500噸石子生產線配置方案_廠家報價生產線
TOP12銷量較好的雷蒙磨粉機型號有哪些雷蒙磨粉機
換一換 ![]()
想讓資深工程師為您設計生產方案?想獲取全套設備優惠報價單?請留言,專業經理即刻開始為您一對一服務?。ú挥脫男畔⑿孤?,我們將為客戶提供信息保密服務!)
來廠考察即可獲取資深工程師為您設計方案
多機型現貨可選,簽訂合同,2天內發出
售后團隊親臨現場,指導設備安裝、試車,完成交付
跟蹤砂場運營情況,提供生產運營指導,保障砂場快速盈利
離心沉降法所用裝置是串聯旋流分級器,也稱旋流水析器,其基本原理是使分級過程在離心力場中進行。旋流水析器內顆粒的徑向沉降速...
201010.10
查看詳情螺旋分級機根據螺旋數目的不同,可分為單螺旋分級機和雙螺旋分級機。根據分級機溢流堰的高低,又可分為高堰式、低堰式、沉沒式三...
201010.10
查看詳情礦石分級技術——顆粒在運動介質中的自由沉降速度的計算方法。...
201010.09
查看詳情由密度、粒度和形狀相同或相近的顆粒組成的粒群,它們在介質中沉降時,由相互摩擦、碰撞等原因產生的機械阻力,主要取決于粒群在...
201010.09
查看詳情河南紅星礦山機器有限公司 總部地址:中國鄭州高新技術產業開發區檀香路8號
工程師免費設計方案已有162位獲得心儀的方案
算一算 搭配一條合適的生產線需要多少錢?
點擊獲取報價